우리는 흔히 뇌의 노화를 “점진적인 쇠퇴”로 이해한다.
하지만 정말 뇌는 천천히, 일정한 속도로만 변화할까?

최근 Nature Communications에 발표된 연구는
인간의 뇌가 전 생애에 걸쳐
연속적으로 변화하는 것이 아니라,
특정 시점에서 구조적 ‘전환점(turning point)’을 맞이한다는
흥미로운 사실을 제시한다.

Mousley, A., Bethlehem, R. A., Yeh, F. C., & Astle, D. E. (2025). Topological turning points across the human lifespan. Nature Communications, 16(1), 10055.
이 연구는 뇌 발달과 노화를 하나의 연속선이 아닌,
구조적 변곡점의 연속으로 바라보게 만든다.
연구 배경
기존의 뇌 발달 및 노화 연구는 주로 다음과 같은 접근을 취해왔다.
- 특정 연령대(아동기, 청년기, 노년기)의 평균적 차이 비교
- 회백질 두께, 뇌 용적, 기능적 연결성 등의 양적 변화 분석
- “발달 → 정점 → 퇴화”라는 선형적 모델 가정
하지만 이러한 접근은 뇌 네트워크의 구조적 조직 방식 자체가 언제, 어떻게 바뀌는지를 충분히 설명하지 못했다.
최근 신경과학에서는 뇌를 개별 영역의 집합이 아닌 복잡한 네트워크(topological system)로 이해하려는 흐름이 강해지고 있으며, 이 연구는 바로 그 관점에서 인간 전 생애를 다시 분석한다.

그림 1. 연구전반개요
전체 뇌 영상 데이터의 수집∙연령 분포∙분석 흐름을 보여준다.
0세부터 90세까지 4,216명의 확산 MRI 데이터를 통합하여
뇌 연결 네트워크 토폴로지의 비선형적 변화를 추적했다는 점을 시각화한다.
연구 목적
이 연구의 목적은 다음과 같다.
- 인간의 뇌 연결 네트워크가 전 생애에 걸쳐 어떻게 재구성되는지 분석
- 단순한 점진적 변화가 아닌, 구조적 전환점(topological turning point)의 존재 여부 확인
- 이러한 전환점이 언제 발생하며, 어떤 네트워크 특성 변화와 관련되는지 규명
즉, “뇌는 언제 같은 방식으로 작동하기를 멈추고, 다른 방식으로 조직되기 시작하는가?”라는 질문에 답하고자 한다.
연구 방법
연구진은 대규모 뇌 영상 데이터를 활용하여 구조적 연결성(structural connectivity)을 분석했다.
핵심방법요약
| 구분 | 내용 |
| 데이터 | 다양한 연령대의 인간 뇌 확산 MRI 데이터 |
| 분석 대상 | 뇌 구조 연결 네트워크 |
| 핵심 개념 | 네트워크 위상(topology), 효율성, 통합성, 분리성 |
| 분석 방식 | 연령에 따른 네트워크 지표 변화 추적 |
| 핵심 접근 | 변화의 “속도”가 아니라 “방향 전환”에 주목 |
특히 이 연구는 네트워크 지표의 기울기 변화를 분석하여, 단순한 증가·감소가 아닌 질적 전환 시점을 찾아낸 것이 특징이다.
연구 결과
연구 결과는 기존의 선형적 뇌 변화 관점을 강하게 흔든다.
1. 뇌는 평생에 걸쳐 여러 번 ‘전환점’을 맞는다.
- 뇌 네트워크의 구조는 일정하게 변하지 않는다
- 특정 연령 구간에서 네트워크 조직 원리가 급격히 바뀌는 시점이 존재한다.

그림 2. 전체 연결성 변화
이 매트릭스 도표는 평균 연결성, 밀도, 네트워크 강도 등이
나이에 따라 어떻게 달라지는지 보여준다.
특히 연결 강도는 점진적으로 증가하지만
글로벌 효율성과 같은 통합성 지표는 비선형적으로 변화하는 모습을 확인할 수 있다.
2. 발달과 노화는 하나의 연속선이 아니다.
- 청소년기 이후 곧바로 “퇴화”가 시작되는 것이 아님
- 중간 성인기에도 중요한 구조적 재조직이 발생

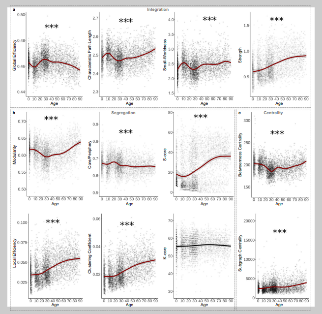
그림 3. 토폴로지 지표의 나이별 변화
여러 토폴로지 지표(전역 효율성, 경로 길이, 모듈성 등)가
연령에 따라 서로 다른 패턴으로 변화한다는 점을 보여준다.
예를 들어 글로벌 효율성은
성인 초기에 정점을 찍고 이후 감소하고, 모듈성은 증가하는 경향을 보인다.
3. 노화는 단순한 기능 저하가 아니라 ‘재구성’이다.
- 노년기의 변화는 무질서한 붕괴가 아니라
- 네트워크 효율성과 분산 방식의 전략적 변화로 해석될 수 있음
즉, 뇌는 나이가 들면서 망가지는 것이 아니라, 다른 방식으로 작동하도록 재설계된다는 관점을 제시한다.

그림 4. 주요 전환점 정의
이 그림은 UMAP 기반의 저차원 공간에서 토폴로지의 변화가 어떻게 진행되는지 보여주며,
네 개의 주요 전환점(9, 32, 66, 83세)을 식별한다.
이 전환점들은 뇌가 이전과 다른 토폴로지 방향성으로 변화하기 시작하는 시기를 나타낸다.

그림 5. 다섯 토폴로지 시대의 특징
그림 5는 다섯 개 시대(epoch) 각각에서 어떤 토폴로지 지표가 변화 방향이나 영향력을 갖는지를 보여준다.
- Epoch 1 (0–9): 클러스터링이 핵심
- Epoch 2 (9–32): 소월드 특성 강조
- Epoch 3 (32–66): 지역 효율
- Epoch 4 (66–83): 모듈성 중심
- Epoch 5 (83–90): 서브그래프 중심성 중심
즉, 각 시대는 네트워크 조직 특성이 다르게 주도되는 시기임을 나타낸다.

그림 6. 전환점 비교 및 통합적 해석
전체 연구를 종합한 ‘토폴로지 변화의 통합적 요약’이라고 볼 수 있다.
이 그림은 다음과 같은 내용을 시각적으로 보여 준다:
- 주요 구성 요소(PCA)를 통해 전환점 간의 차이를 비교
- 다양한 지표가 어떻게 함께 변하는지 보여주는 3차원 공간에서의 변화 경로
- Epoch 간 궤적 차이 비교를 통해 어떤 전환점이 가장 구조적 변화가 큰지 강조
- 요약 표를 통해 각 전환점이 어떤 토폴로지 지표 변화를 수반하는지 한눈에 정리
예를 들어, 32세 전환점은 전체 토폴로지 변화에서 가장 큰 “변곡폭”을 보이며, 66세 전환점은 모든 주성분에서 유의미한 차이를 나타내는 등 각 전환점의 특징적인 역할을 시각적으로 해석해 준다.
시사점
1. 이론적 시사점
- 뇌 발달·노화 모델을 선형 모델에서 전환점 기반 모델로 재구성할 필요
- 정신질환, 인지 저하 연구에서 “연령 자체”보다 전환 시기가 중요해질 가능성
2. 임상·실무적 시사점
- 치매, 우울증, 신경퇴행성 질환의 조기 진단에서
→ “평균 연령 대비 이상”이 아니라
→ “전환점 지연·가속 여부”가 새로운 지표가 될 수 있음
3. 일상적 관점의 시사점
- 특정 나이에 집중력, 사고방식, 감정 조절이 달라졌다고 느낀다면
→ 그것은 실패나 쇠퇴가 아니라 뇌 구조 전략의 변화 신호일 수 있다
이 연구는 인간의 뇌를 “점점 닳아가는 기관”이 아니라,
평생에 걸쳐 여러 번 방향을 바꾸며 적응하는 시스템으로 바라보게 만든다.
나이가 든다는 것은 능력이 사라지는 과정이 아니라,
뇌가 다른 방식으로 세상을 처리하기 시작하는 전환의 과정일지도 모른다.
뇌의 변화를 이해하는 새로운 언어가 필요한 시점이며,
이 연구는 그 중요한 출발점이 된다.
'흥미로운 연구(논문) > 자연_의학' 카테고리의 다른 글
| 금연 효과: 담배를 끊으면 생기는 놀라운 변화들(연구 결과 중심) (0) | 2025.12.16 |
|---|---|
| 금주하면 몸은 어떻게 변할까? 연구로 보는 금주의 효과 총정리 (0) | 2025.12.16 |
| 금식이 다이어트에 미치는 영향과 최신 연구 결과 정리 (0) | 2025.12.13 |
| 지능과 삶의 만족도, 정말 관련이 있을까? 연구로 알아보는 IQ와 행복의 관계 (1) | 2025.12.10 |
| 위고비, 정말 효과 있을까? 최신 연구로 살펴본 장점과 부작용 총정리 (1) | 2025.12.09 |